iSWEEP Dual Clutch Transmission Fluid

iSWEEPデュアルクラッチトランスミッションフルード

デュアルクラッチトランスミッションフルード(以下、DCTF)は過酷な走行条件に相当する高温領域から寒冷地での低温領域までをカバーできる優れた粘性特性(高い粘度指数)を持ち、さらに摩擦特性、耐摩耗性、制御安定性に優れた全く新しい独自のDCTFとなっております。

■ DCTF M7

日常使用からサーキット走行まで幅広い用途で使用できます。

■ DCTF M8

サーキット走行に特化した専用オイル。トルセン式LSD装着車に最適。

ご購入はこちら

ISHIKAWA ENGINERRING WEBSITE : https://ishikawa-engineering.com/

商品名 SAE粘度 ボトル容量 本体価格(税込)
DCTF m7   1L ¥5,566
    4L ¥22,264
DCTF m8   1L ¥5,566
    4L ¥22,264

iSWEEP Dual Clutch Transmission Fluid

デュアルクラッチトランスミッションフルード(以下、DCTF)に要求される性能は、単一のファクターにとどまりません。すなわち、湿式多板クラッチのスリップコントロール特性、シンクロメッシュ適合性、油圧制御適合性、ギヤ系の耐摩耗・耐疲労特性など多岐にわたる要求性能を高次元でバランスさせ、さらに構成材料との適合性を考慮しなくてはなりません。特にサーキット走行やスポーツ走行を楽しむような過酷な走行条件をも前提に考慮しなくてはなりません。新規DSG用DCTFの開発段階において、純正DSGオイルの性能評価を詳細に行ってきました。サーキット走行のような過酷な条件を含む様々な用途、環境下での使用油を採取し、専門機関にて分析を行いました。その結果、純正DSGオイルにおいては約3万kmの使用で潤滑保護性能が低下することが分かりました。また、長時間の高速走行やサーキット走行などでは油温の上昇に伴い、変速ショックが大きくなるなど制御の不具合が発生する現象も確認されています。iSWEEP DCTFは、これらの課題を潤滑学の側面から検証し、最適化させてきました。ノンポリマー仕様としながらも特殊ハイドロカーボン系ベースの分子構造および分子量分布の最適化、コンビネーション化を図り、マシーン各部での異なる摩擦特性に対応させるために、機能添加剤の最適バランスを図りました。さらに、マシーンのコンンパクト傾向は熱負荷増大の要因となるため、高温・高負荷にも耐える酸化安定性の向上を特に意図して開発を行ないました。こうした配慮により過酷な走行条件に相当する高温領域から寒冷地での低温領域までをカバーできる優れた粘性特性(高い粘度指数)を持ち、さらに摩擦特性、耐摩耗性、制御安定性に優れた全く新しい独自のDCTFとなっております。

チムケン試験

チムケン試験による純正DSGオイルとiSWEEP DCTFの比較テスト。試験では一定の摩擦条件下で滑り摩擦接触面に焼き付き等の損傷を生じさせず、潤滑油によって支え得る最大荷重または最大圧力を評価します。純正DSGオイルでは摩擦接触面に焼き付きが生じていますが、iSWEEP DCTFでは正常な摩耗面です。

純正DSGオイル
Dual Clutch Transmission Fluid
VW DSG Fluid の使用油性状
単位 試験項目 純正DSGオイルの使用距離別成分分析
km 0 27,016 39,681 48,029 91,728
g/cm3 密度(15℃) 0.8465 0.8453 0.8445 0.8455 0.8451
mm2/s 動粘度(40℃) 36.46 33.15 32.00 32.36 31.06
mm2/s 動粘度(100℃) 7.329 6.660 6.480 6.465 6.182
粘度指数 171 162 161 158 153
mgKOH/g 酸価 1.24 1.06 1.14 0.90 1.17
mgKOH/g 塩基価 2.69 1.30 1.79 1.77 1.64
mass% Ca 0.003 0.004 0.004 0.003 0.003
mass% Zn 0.000 0.002 0.002 0.003 0.003
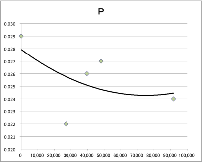
mass% P 0.029 0.022 0.026 0.027 0.024
mass% B 0.013 0.007 0.008 0.007 0.007
mass% N 0.09 0.08 0.11 0.10 0.10
mass% S 0.10 0.07 0.08 0.07 0.06
ppm Fe 0 47 63 60 75
ppm Cu 0 9 13 12 17
ppm Al 0 4 9 11 19
ppm Pb 0 3 5↓ 5↓ 5↓
ppm Cr 0 1 5↓ 5↓ 5↓
ppm Sn 0 3 5↓ 5↓ 5↓
  • 上記表の比較は純正DSGオイル新品時と使用過程車よりオイル交換時に採取したオイルの成分比較です。
  • 採取したDSGオイルは、1回目のDSGオイルで採取した使用済みDSGオイルです。
  • 採取した車両はすべてVW GOLF5 GTIより採取したもので、すべて別々の車両から採取したDSGオイルです。
  • それぞれの車両は使用過程の条件が異なりますので、劣化状況も異なりますが、動粘度の低下や不純物の含有量の増加が確認できます。上記の表から3万キロ毎の交換を推奨します。